Skip to primary content

Los Alamos Laboratory Retiree Group

Reaching Out From a Common experience

Los Alamos Laboratory Retiree Group

Main menu

  • News
  • About Us
  • Contact Us
  • Membership
  • Newsletter
  • Scholarship
  • Links
  • Cyber Fraud Links

Image navigation

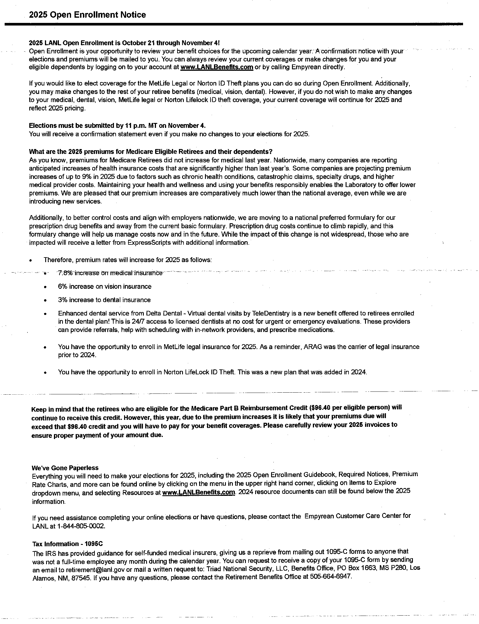
2025-OpenEnrollmentLetter

Published October 19, 2024 at 1652 × 2152 in 2025 Open Enrollment Oct 21 – Nov 4
Proudly powered by WordPress